- A+
以一个工业应用为例,需要从24 V电源电压生成300 V输出电压,输出电流为160 mA。
本文引用地址:

还可以使用占空比来表示电压增益:

占空比和电压增益是升压转换器的主要参数,表示在每个周期中,开关S开启的时长。电压增益表示输出电压超出输入电压的比例(因数)。 为了生成高电压,占空比数值会增大到接近于1,但不会达到1。
选择具有较高的最大占空比的升压转换器,似乎可以从低电源电压生成高输出电压。但是,这不是唯一的决定因素。除了占空比限制,还必须考虑可能达到的最大电压增益。
电压增益是升压转换器可能实现的最大输出电压与可用的输入电压的比值。我们可以这样理解升压转换器本身的限制:在使用升压转换器时,所有电能从输入端传输到输出端时,必须先暂时存储起来。在开启期间,也就是,在图1中的开关S开启期间,电能将暂时存储在电感L中。此时,图1中的二极管D会阻断电流流动。
在关闭期间,电感L中暂时存储的电能会放电。电感充电和放电都必须遵循电感规则。在每种情况下,电流由电感值和电感两端的电压差决定。电感两端的电压可以简单描述为:充电期间为V IN ,关闭期间为V OUT - V IN 。
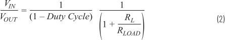
电压增益较高时,关闭时间可能不够长,导致电感中暂时存储的电能无法完全放电。因此,公式1中描述占空比的简化公式无法表述这种限制,只有同时考虑电感的直流电阻(DCR)和负载电阻时,最大电压增益公式才算成立。参见公式2:

所以,R L 和R LOAD 的比值会影响可能的输入和输出电压之间的比值,进而影响升压转换器的电压增益。该电压增益可以如图所示。图2所示的示例中,输入电压为24 V,输出电压为300 V,电流为160 mA,负载电阻为1.8 kΩ,电感R L 的DCR为3 Ω。

在该示例中,图2显示电压增益可能达到约12.5(根据公式2演算得出)。但是,如果负载电阻降低(即:输出电流增高),或者电感的DCR (R L )增高(即:电感尺寸减小),将会无法实现要求的电压增益。
图3显示负载电阻和电感电阻的比值为300时的电压增益曲线。此时,选择R L 为6 Ω,负载电阻为1.8 kΩ。

图3显示,在这种情况下,最大电压增益仅为9。所以,无法将24 V输入电压转换为300 V输出电压。所选的DCR,或者电感的R L 太高了。
总之,在设计采用升压拓扑的电路时,务必要确定可能达到的最大电压增益。需要注意,它取决于负载电阻(也就是输出电流)和电感的DCR。如果情况显示似乎无法达到所需的电压增益,可以选择具有更低DCR的更大电感。



